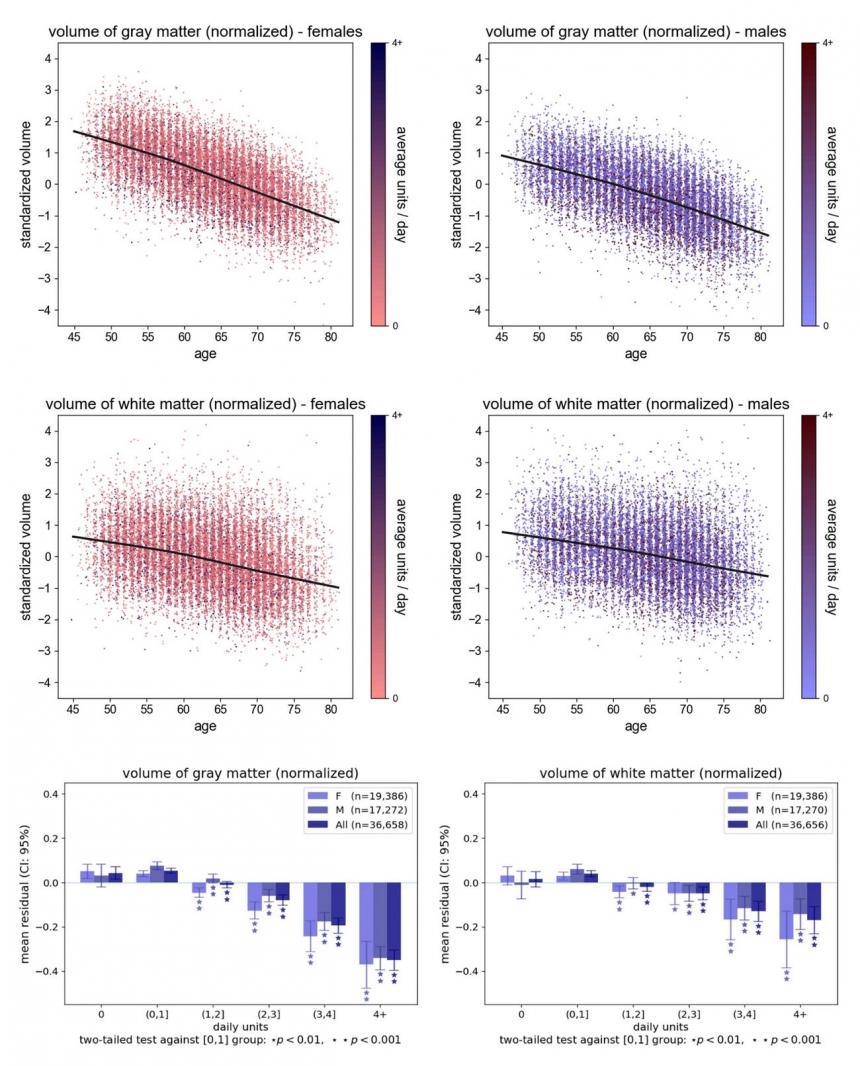
Το ρητό “παν μέτρον άριστον” έρχεται να επιβεβαιωθεί ξανά και αυτή τη φορά αφορά την κατανάλωση αλκοόλ. Μία ομάδα Ευρωπαίων και Αμερικανών ερευνητών, μελέτησαν τα δεδομένα 36.678 ενηλίκων 40 ετών και άνω, από την UK Biobank, τη μεγαλύτερη μακροπρόθεσμη μελέτη που έχει δημιουργηθεί στο Ηνωμένο Βασίλειο.
Οι επιστήμονες ρώτησαν τον αριθμό ποτών που κατανάλωναν οι συμμετέχοντες την εβδομάδα ή το μήνα και έπειτα μετέτρεψαν τον αριθμό σε ποτά ανά ημέρα. Ταυτόχρονα είχαν πρόσβαση στις μαγνητικές τομογραφίες των συμμετεχόντων για να διαπιστώσουν αλλαγές στο μέγεθος του εγκεφάλου τους με το χρόνο.
Αφού έλεγξαν παράγοντες όπως ηλικία, μάζα σώματος και φύλο, οι επιστήμονες βρήκαν πως υπάρχει ένας αρνητικός συσχετισμός ανάμεσα στην πρόσληψη αλκοόλ και τη δομή του εγκεφάλου. Οι αλλαγές ήταν εντονότερες σε υψηλότερα επίπεδα κατανάλωσης αλκοόλ, με αυτούς που έπιναν 4 ποτά την ημέρα να έχουν μείωση της γκρίζας και λευκής ύλης του εγκεφάλου ισοδύναμη με 10 χρόνια επιπλέον γήρανσης σε σχέση με αυτούς που δεν έπιναν καθόλου.
Το ανησυχητικό είναι πως η ομάδα βρήκε και διαφορά ανάμεσα σε αυτούς που έπιναν ένα ποτήρι την ημέρα και σε αυτούς που έπιναν δύο, με τη διαφορά στην ηλικία των 50 ετών να είναι ισοδύναμη με δύο έτη έξτρα γήρανσης του εγκεφάλου.
Σε αντίθεση με ό,τι πιστεύαμε έως τώρα, πρόσφατες μελέτες έχουν δείξει πως δεν υπάρχει ασφαλές όριο όσον αφορά την κατανάλωση αλκοόλ και η συγκεκριμένη μελέτη δείχνει πως υπάρχει κάποιος συσχετισμός μεταξύ του αλκοόλ για των αλλαγών στον εγκέφαλο. Ωστόσο βασίζεται στην παρατήρηση και δεν μπορεί να ισχυριστεί με σιγουριά πως οι αλλαγές στον εγκέφαλο προκαλούνται από το αλκοόλ ή υπάρχει κάποιος άλλος παράγοντας που δεν έχουμε εντοπίσει. Σε κάθε περίπτωση, η ομάδα υπογραμμίζει πως δε βλάπτει να μειώσετε την κατανάλωση αλκοόλ και ίσως ακόμα και ένα λιγότερο ποτήρι να κάνει τη διαφορά.
Υπάρχουν κάποιες αποδείξεις πως οι επιπτώσεις του ποτού στον εγκέφαλο είναι εκθετικές. Οπότε, ένα επιπλέον ποτό τη μέρα μπορεί να έχει πολλές περισσότερες επιπτώσεις από οποιοδήποτε προηγούμενο ποτό την ίδια μέρα. Αυτό σημαίνει πως αν μειώσετε το ποτό, μπορεί να έχει πολύ μεγάλη σημασία όσον αφορά τη γήρανση του εγκεφάλου. - Remi Daviet, University of Wisconsin
unboxholics.com
