Η πόλη του Ρεθύμνου, είναι πόλη ατμοσφαιρικά καθαρή και ασφαλής σύμφωνα με τις μετρήσεις του συστήματος σταθμών του Εργαστηρίου Ανανεώσιμων και Βιώσιμων Ενεργειακών Συστημάτων του Πολυτεχνείου Κρήτης, εταίρο του προγράμματος CIVITAS DESTINATIONS.
Το σύστημα δημιουργήθηκε και λειτουργεί από το Νοέμβριο 2017, σε συνεργασία με το Δήμο Ρεθύμνης. Η επεξεργασία και η ανάλυση των πρώτων δεδομένων από την ερευνητική ομάδα του εργαστηρίου ακολουθεί κατάλληλες στατιστικές μεθόδους και αφορά το διάστημα Νοέμβριος 2017 - Μάιος 2019 (μετρήσεις ανά 5λεπτο) και οδηγεί σε σημαντικά ασφαλή συμπεράσματα. Η μεθοδολογία που ακολουθείται επιλέχτηκε για να παρουσιαστεί ως καλή πρακτική και για άλλες ευρωπαϊκές πόλεις, από την επιτροπή του CIVIΤAS FORUM στο Γκρατς (Αυστρία) τον Οκτώβριο 2019.
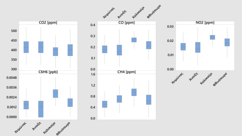
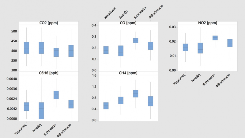
Οι σταθμοί παρακολούθησης των περιβαλλοντικών δεικτών ενσωματώνουν αισθητήρες μέτρησης για την θερμοκρασία, την υγρασία, την σκόνη και για έξι (6) βασικούς περιβαλλοντικούς ρύπους όπως διοξείδιο του άνθρακα (CO2), μονοξείδιο του άνθρακα (CO), οξείδια αζώτου (ΝΟx), βενζόλιο (C6H6), αμμωνία (ΝΗ4), μεθάνιο (CH4) και υδρογόνο (H2). Ενδεικτικά αποτελέσματα από την στατιστική ανάλυση των δεικτών από δύο σταθμούς του συστήματος παρουσιάζονται στις Εικόνες 1 και 2.
Εικόνα 1. Διάγραμμα εποχικών ρύπων – Περιοχή Σοχώρας
Εικόνα 2. Διάγραμμα εποχικών ρύπων – Περιοχή Μασταμπά
Οριακές τιμές ρύπων (σε ppm):
• NO2: 0,1 (Ευρωπαϊκή Επιτροπή)
• CO2: 5.000 (ΗΠΑ, Υπ. Εργασίας)
• CO: 8,11 (Ευρωπαϊκή Επιτροπή)
• C6H6: 0,002 (Ευρωπαϊκή Επιτροπή)
Οι ρύποι στην πόλη του Ρεθύμνου παρατηρούνται, σε πολύ χαμηλά επίπεδα καθ’ όλη την διάρκεια του έτους. Για παράδειγμα, το διοξείδιο του άνθρακα (CO2) μετράται σε φυσιολογικά επίπεδα, αρκετά χαμηλότερα από τα επικίνδυνα όρια, ενώ και οι υπόλοιποι δείχνουν να είναι σε πολύ χαμηλές τιμές. Ιδιαίτερα το βενζόλιο (C6H6), που συνδέεται με τους καταλύτες των οχημάτων, παρουσιάζει τιμές κοντά στο μηδέν οι οποίες μπορούν να θεωρηθούν αμελητέες.

